Summary
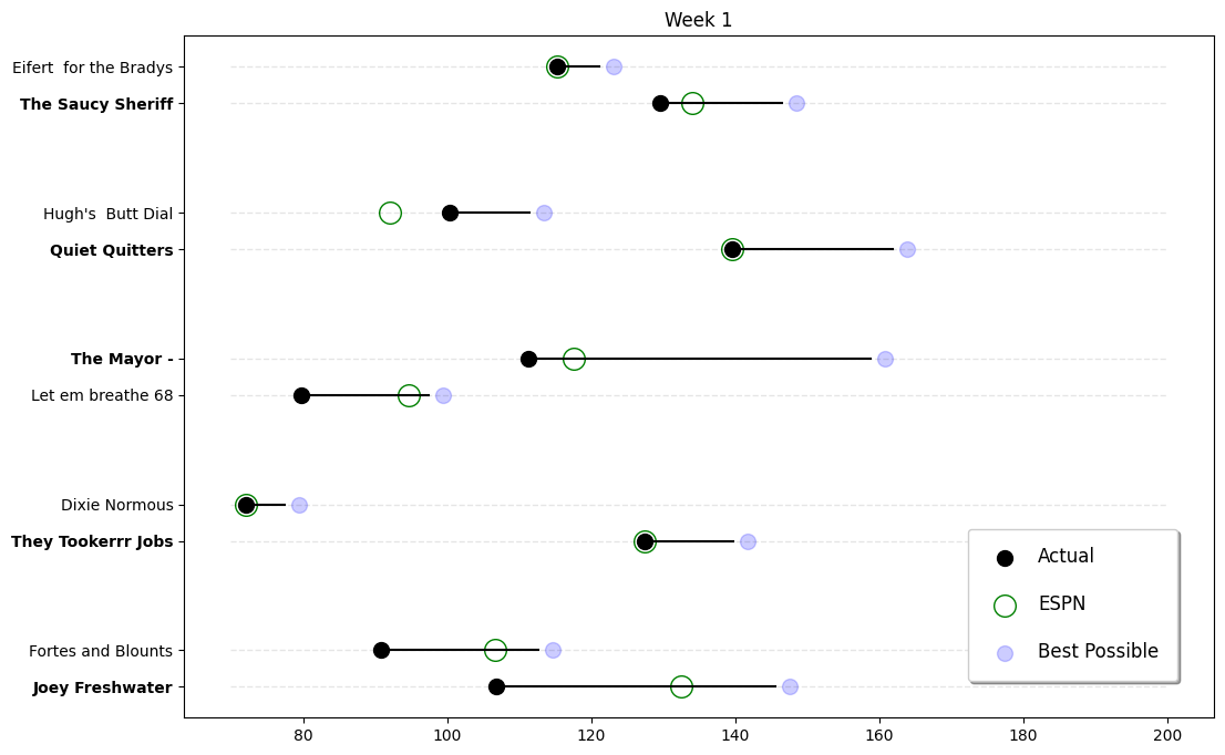
Oh, sweet mercy, what a week we had! Let’s break it down for ya. First up, Tyler “Joey Freshwater” splashed in with a stunning 106.82 points while Chris and his sad sack squad “Fortes and Blounts” floundered with a pathetic 90.84. It’s like watching a golden retriever try to play fetch while he’s chained to a fire hydrant—just sad!
But let’s not stop there—Trevor’s “Dixie Normous” looked more like “Dixie Gigantic Disaster,” scoring a wretched 72.06 as Alan “They Tookerrr Jobs” marched through like an unstoppable force of nature with 127.48 points! Seriously, Trevor, you put that up on the field, and even your family’s pet goldfish would be regretting its life choices.
Now, on the bright side, Bill “The Mayor” threw down a respectable 111.26, taking down Lee’s “Let em breathe 68” who looked like they forgot to set their lineup and ended up with an embarrassing 79.82. C’mon, Lee—what are you doing? It’s like showing up to a fistfight with a wet napkin instead of your fists!
Then we have Brian’s “Hugh’s Butt Dial” that got smacked around by Nick M’s “Quiet Quitters” with a whopping 139.54 points. You gotta wonder if Brian even bothered trying, or if he just left his phone next to his team and let Siri pick the players. And finally, David “Eifert for the Bradys” floated a solid 115.3, but my oh my, did it mean anything against Nick H’s “The Saucy Sheriff,” who steamrolled him with 129.58 points. David, you’re pulling an Oscar-worthy performance, except your script blows and your acting’s worse than a soap opera on its 12th season!
So here’s to the victors! Drink up, you glorious warriors! But to the losers—I hope you take a good, long look in the mirror and ask yourselves if fantasy sports is really for you or if you’d rather just watch reruns of “Friends” for the rest of your life! - Fake Commish
Weekly Awards
Big Dick Award (Most Total Points) $$
Nick M 139.54

Little Bitch Award (Fewest Total Points)
Trevor 72.06

Matchups Overview

Best and Worst for the Week
| Category | Owner |
|---|---|
| Most Points Scored: | Nick M |
| Least Points Scored: | Trevor |
| Best Possible Lineup: | Nick M |
| Best Lineup Setter | David |
| Worst Lineup Setter | Bill |
| Lucky Winners | Tyler |
| Unlucky Losers | David |
Best and Worst Positions for the Week
| Category | Owner |
|---|---|
| Best QBs: | Tyler |
| Best RBs: | Bill |
| Best WRs: | Nick M |
| Best TEs: | Alan |
| Best DST: | Alan |
| Best K: | Tyler |
| Best Bench: | Bill |
| Worst QBs: | Trevor |
| Worst RBs: | Chris |
| Worst WRs: | Lee |
| Worst TEs: | Bill |
| Worst DST: | David |
| Worst K: | David |
| Worst Bench: | Trevor |