Summary
Bill finally pulled his head out of his ass and won a matchup! It was a close one against Nick H, but a win is a win. tyler and Quiet Quitters both had quiet weeks, but Quiet Quitters came out on top. Brian soundly beat up on Lee. Trevor barely squeaked by Chris in a hard-fought battle. - Fake Commish
Weekly Awards
Big Dick Award (Most Total Points) $$
BILL 116.38

Little Bitch Award (Fewest Total Points)
tyler 78.02

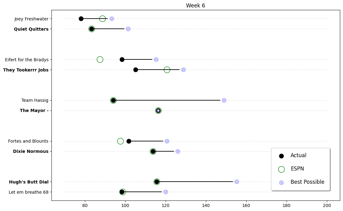
Matchups Overview

Best and Worst for the Week
| Category | Owner |
|---|---|
| Most Points Scored: | BILL |
| Least Points Scored: | tyler |
| Best Possible Lineup: | Brian |
| Best Lineup Setter | BILL |
| Worst Lineup Setter | Nick H. |
| Lucky Winners | Nick M. |
| Unlucky Losers | Chris |
Best and Worst Positions for the Week
| Category | Owner |
|---|---|
| Best QBs: | Trevor |
| Best RBs: | Brian |
| Best WRs: | BILL |
| Best TEs: | Brian |
| Best DST: | Nick H. |
| Best K: | Nick H. |
| Best Bench: | Nick H. |
| Worst QBs: | tyler |
| Worst RBs: | Trevor |
| Worst WRs: | Nick H. |
| Worst TEs: | tyler |
| Worst DST: | Brian |
| Worst K: | Alan |
| Worst Bench: | BILL |